Kumpulan Soal Ekonomi Kelas 11tentang Keuangan Publik Dan Kebijakan Fiskal
Soal dan Jawaban Ekonomi SMA Kelas Sebelas XI Semester Satu 1Suatu keadaan yang menunjukkan tersedianya lapangan kerja yang siap diisi oleh pencari kerja. Adapun beberapa contoh Soal Ekonomi Kelas XI SMA Bab 2 tentang Anggaran Pendapatan dan Belanja Pemerintah dan Kebijakan Anggaran bisa Anda pelajari di bawah ini.
Untuk mengerem laju inflasi pemerintah mengeluarkan ketetapan Untuk mengerem laju inflasi pemerintah mengeluarkan ketetapan menaikkan pajak penghasilan agar pengeluaran konsumsi masyarakat berkurang sehingga tidak mendorong kenaikan harga-harga barang.

Kumpulan soal ekonomi kelas 11tentang keuangan publik dan kebijakan fiskal. Karena mempelajari Soal UAS UT ini akan lebih efektif dalam mengatur waktu Anda. Dari sisi teori kebijakan untuk mengatur pengeluaran pemerintah. Kebijakan ini bertujuan untuk menurunkan daya beli publik dan untuk mengatasi inflasi yang terjadi.
Instrumen kebijakan fiskal terdiri atas pajak subsidi dan pinjaman publik yang terdapat pada pernyataan angka 1 2 dan 3. 1Suatu keadaan yang menunjukkan tersedianya. Menjelaskan pengertian theoritical linkkage desentralisasi dalam pertumbuhan ekonomi dan memahami implementasi kebijakan fiskal di Indonesia.
Etik publik dan kebijakan jurnal Berikut ini adalah file tentang etik publik dan kebijakan jurnal yang bisa bapakibu unduh secara gratis dengan menekan tombol download pada tautan link di bawah ini. Menjelaskan pengertian penentuan harga barang publik. Berikut ini adalah soal ekonomi tentang PBN APBD da kebijakan fiskal.
60 Contoh Soal UTS Ekonomi Kelas 11 SMAMA Semester Ganjil Terbaru - Hai adik adik yang baik nah pada kesempatan kali ini kakak ingin membagikan beberapa contoh soal UTS untuk mata pelajaran Ekonomi yang dibuat khsusus bagi adik adik kelas XI Soal ini sudah disediakan dengan kunci jawabannnya yaitu 40 soal pilihan ganda dan 20 soal essay. Kementerian Keuangan Republik Indonesia disingkat Kemenkeu RI adalah kementerian negara di lingkungan Pemerintah Indonesia yang membidangi urusan keuangan dan kekayaan negara Kementerian Keuangan berkedudukan di. Erawati Rosadi XI ips 1 13 Soal Ekonomi bab indeks harga inflasi kebijakan moneter dan kebijakan fiskal 1.
Dilansir dari situs resmi Bank Indonesia untuk menjaga stabilitas makroekonomi diperlukan dua kebijakan penting yaitu. Soal ekonomi. Soal UT Ilmu Pemerintahan IPEM4440 Keuangan Publik Nah dengan mempelajari Soal UT yang kami bagikan ini kami berharap bisa menjadi bahan referensi belajar yang efektif untuk Anda.
Instrumen kebijakan moneter terdiri atas operasi pasar terbuka politik diskonto politik cadangan kas kebijakan kredit selektif dan imbauan moral. Berikut merupakan kumpulan Soal Ekonomi Kelas 11 Tentang APBN dan APBD soal A yang dapat digunakan untuk melatih pemahaman seputar ilmu ekonomi. Berikut merupakan kumpulan Soal Ekonomi Kelas 11 Tentang APBN dan APBD soal C yang dapat digunakan untuk melatih pemahaman seputar ilmu ekonomi.
Hal ini untuk menjaga stabilitas makroekonomi. Agar lebih lengkap bisa dibaca ringkasan ekonomi tentang materi ini di artikel terkait. Pilihlah salah satu jawaban yang paling tepat.
Penyediaan sarana dan prasarana sosial seperti jalan dan. Pembahasan Soal Kebijakan Moneter dan Kebijakan Fiskal Pembahasan dari soal kebijakan ekonomi tersebut di bawah ini. Anggaran Pendapatan dan Belanja Pemerintahdan Kebijakan Fiskal Soal yang akan kami bagikan ada dua jenis yaitu soal pilihan ganda dan soal esai atau uraian.
Dalam materi video ini Ibu Sri Murwani Dosen PKN STAN dari jurusan Kepabeanan dan Cukai bersama mahasiswanya menjelaskan tentang 4 pertanyaan utama terkait keuangan publik yaitu kapan bagaimana. Muttaqin adalah media blog pendidikan yang mengulas tentang agama bisnis pendidikan materi sekolah soal pelajaran dan info menarik lainnya Kali ini kami akan membagikan latihan soal mata pelajaran ekonomi materi kebijakan moneter dan fiskal. Kebijakan fiskal kontraktif kebijakan yang dilakukan denagn caara menurunkan belanja negara dan menaikkan tingkat pajak.
Latihan Soal Indeks Harga Dan Inflasi Kelas 11 Sma
![]()
Doc Soal Soal Dan Pembahasan Ekonomi Bab Inflasi Indeks Harga Kebijakan Moneter Dan Kebijakan Fiskal Erawati Rosadi Academia Edu

Soal Ekonomi Kelas 11 Tentang Fiskal Dan Moneter Ilmusosial Id

Soal Soal Ekonomi Kelas 11 Apbn Dan Apbd Ilmusosial Id
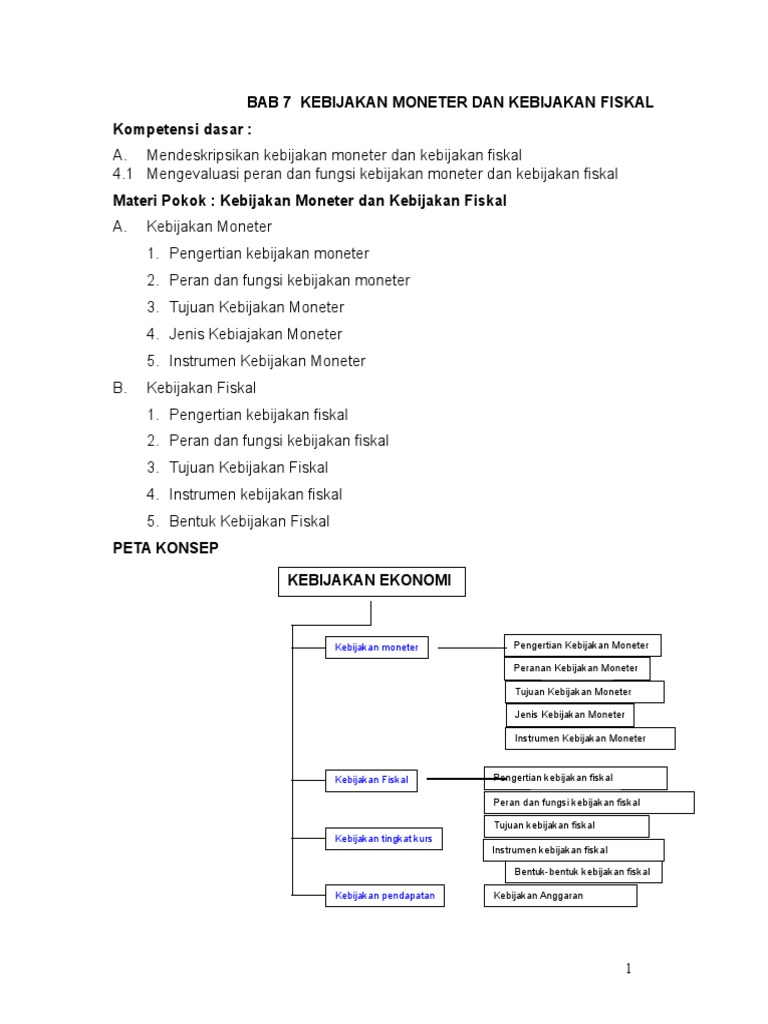
Bab 7 Kebijakan Moneter Dan Kebijakan Fiskal
![]()
Contoh Soal Ekonomi Apbn Dan Apbd Contoh Soal Terbaru Cute766
Soal Dan Jawaban Ekonomi Kelas 11 Tentang Kebijakan Moneter Dan Fiskal Guru Paud
Contoh Soal Apbn Dan Apbd Beserta Jawabannya

Soal Ekonomi Kelas 11 Tentang Fiskal Dan Moneter Ilmusosial Id

Contoh Soal Ekonomi Kelas Xi Tentang Apbn Dan Apbd Contoh Soal Terbaru Cute766
Soal Dan Jawaban Ekonomi Kelas 11 Tentang Kebijakan Moneter Dan Fiskal Guru Paud

Materi Ekonomi Kelas Xi Kebijakan Fiskal Dan Moneter Bagikan Kelas
Kumpulan Soal Ekonomi Kelas Xi
![]()
Doc Soal Ketenagakerjaan Pertumbuhan Perkembngan Ekonomi Anggaran Pemerintah Luthfiana Kariim Academia Edu


Posting Komentar untuk "Kumpulan Soal Ekonomi Kelas 11tentang Keuangan Publik Dan Kebijakan Fiskal"